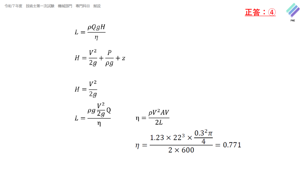
技術士一次試験 機械部門 令和7年 Ⅲ-33 解答 2026 3/01 ブログ 技術士一次試験 専門科目(機械) 技術士試験 2026年3月1日 技術士一次試験・選択問題の解答例を公開!解答の考え方やポイントも解説。 効率的な学習と合格戦略をPMEがサポートします。 技術士一次試験の受験指導も行います。無料相談・申し込みページよりご連絡ください 無料相談はコチラより ブログ 技術士一次試験 専門科目(機械) 技術士試験 セカンドオピニオン 一次試験 技術士 機械部門 過去問 この記事が気に入ったら いいねしてね! よかったらシェアしてね! URLをコピーしました! URLをコピーしました!